Równanie ruchu harmonicznego prostego

   Równanie ruchu to zapisana różniczkowo druga zasada dynamiki Newtona. W przypadku jednowymiarowym ogólna postać takiego równania wygląda następująco:

UWAGA !!!   Dla uproszczenia zapisu w fizyce bardzo często stosuje się konwencję „kropkowania” symbolu wielkości zależnej od czasu dla oznaczenia jej pochodnej względem czasu. I tak na przykład mamy: 

   Jedyną siłą działającą na oscylator harmoniczny prosty jest siła zwrotna \(F=-kx\),  więc równanie ruchu przyjmie w tym przypadku postać

   Przygotowując się do jego rozwiązania dzielimy je obustronnie przez masę i grupujemy wszystkie wyrazy po lewej stronie 

   Wprowadźmy teraz oznaczenie

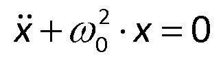
   Równanie ruchu oscylatora harmonicznego prostego przyjmie ostatecznie postać 

   Z matematycznego punktu widzenia jest to jednorodne równanie różniczkowe liniowe drugiego stopnia. Rozwiązaniem równania różniczkowego nie jest jak w przypadku zwykłego równania jakaś konkretna wartość niewiadomej. Niewiadomą jest cała funkcja!!! Nie będziemy się tu wdawać w szczegóły ścisłego podejścia matematycznego. Dla naszych celów wystarczy zauważyć, że równanie ruchu oscylatora spełnia np. funkcja (podstaw ją do równania ruchu i przekonaj się sam)

Wykres powyższego rozwiązania wraz z objaśniającymi oznaczeniami pokazany jest poniżej 

Równość \(2 \pi = \omega_{0} T\) wynika z faktu, iż okresem podstawowym funkcji sinus jest \(2 \pi\), zaś czas trwania jednego cyklu drgań to \(T\). Wyjaśnia się tym samym dlaczego akurat \(2  \pi f = 2 \pi / T\) warto było oznaczyć odrębnym symbolem \(\omega\). Argument sinusa byłby o dwa „znaczki” i kreskę ułamkową większy – prawda że fizycy są leniwi? ;-) 

Masz za sobą 100% lekcji
100%